Borang Jh 2 Lppsa

1 Tahun 2016 Skim Lembaga Pembiayaan Perumahan Sektor Awam. Rumah kediaman pertama adalah dibeli melalui pinjam Perumahan Perbendaharaan Malaysia LPPSA.


Borang Lppsa 1 2016 Akaun Pemaju Perumahan.

Borang jh 2 lppsa. Borang soal selidik tekanan kerja borang tuntutan perjalanan kursus lampiran c lhdn borang ea 2013 borang yapeim bantuan persekolahan penyata kredit kad bank rakyat contoh salinan borang de pendaftaran perniagaan isian borang spa i kad pekerja asing 2017. Lppsa Bagi Sektor Awam Mulai 1 Januari 2016. Submit Borang 1 beserta sesalinan permohonan online yang telah dicetak kepada Jabatan Penilaian beserta lampiran seperti perjanjian jual beli prinsipal salinan geran etc 8.

Borang ms 2 perak borang permohonan keluar negara urusan persendirian kpm borang bantuan pendidikan baitulmal borang jkm untuk ibu tunggal borang pelaksanaan plc borang peduli sihat 2018 borang maklum balas program word borang permohonan biasiswa maidam. Motifmy ingin berkongsi kepada anda mengenai LPPSA Lembaga Pembiayaan Perumahan Sektor Awam yang menyediakan pinjaman perumahan. Contoh Surat Rasmi Tuntutan Wang Pajero Spo.

Kes gadaian ialah penyerahan hak peminjam kepada Kerajaan Malaysia seliaan BPPP bagi menjamin kepentingan Kerajaan yang memberi pinjaman. Salinan Borang Pindahmilik Borang 14A telah dilengkapkan. Log masuk ke Portal Permohonan Pembiayaan LPPSA.

Https Www Globalintegrity Org Wp Content Uploads 2019 08 Girscorecard2013 Indonesia Comments Pdf. Borang Jh 1 Lppsa. Akta Kesalahan Pilihanraya 1954.

1 TAHUN 2016 SKIM PEMBIAYAAN PERUMAHAN SEKTOR AWAM RUMAH IDAMANKU. Jenis 2 - Membina rumah di atas tanah sendiri. LPPSA Borang Kelayakkan.

Untuk bantuan sila hubungi Pusat Panggilan Utama LPPSA di 03-8880 1600 atau klik sini. Kakitangan kerajaan berjawatan tetap. Borang Pakej Loan LPPSATerima kasih kerana berminat Pakej Loan Kerajaan LPPSAInsyallah kami akan kongsikan Panel Peguam LPPSA yang menguruskan klien-klien kami dengan penuh amanah dan tanggungjawabSila isi maklumat di bawah dengan tepat.

Rumah kediaman yang ingin diubahsuai telah dibeli baru dan lama. TOP 5 GAJI YOUTUBER MALAYSIA - Duration. Https Core Ac Uk Download Pdf 161528263 Pdf.

Pinjaman ubahsuai hanya dibenarkan sekiranya melibatkan penambahan keluasan bangunan. Seterusnya Peguam LPPSA terdekat akan menghubungi anda. 212 Lembaga bermaksud Lembaga Pembiayaan Perumahan Sektor Awam LPPSA.

Submit dokumen hardcopy mengikut checklists kepada lppsa termasuk Borang 3 Akujanji Pemegang Pertaruhan ie peguam Penyata Baki Hutang Slip gaji IC etc yang telah disahkan oleh Ketua Jabatan. KomunitiMEGA3 Housing 10442 views. Hebahan Lembaga Pembiayaan Perumahan Sektor Awam.

Borang 19g Kanun Tanah Negara. 159 0 1 1 Doc. 213 Meninggalkan Perkhidmatan bermaksud tidak lagi berkhidmat dengan.

211 Kontraktor bermaksud kontraktor yang berdaftar dengan Lembaga Pembangunan Industri Pembinaan Malaysia LPIPM CIDB dalam bidang pembinaan. Terdapat 2 kaedah semakan pinjaman perumahan kerajaan iaitu secara atas talian dan SMS. Volume 8 Mechanical And Electrical Services Manualzz.

Borang Lppsa 1 2016. Hanya satu 1 set Borang Permohonan yang telah diisi dengan lengkap yang perlu dikemukakan kepada Lembaga Pembiayaan Perumahan Sektor Awam LPPSA. Borang Jh 1 Lppsa.

LEMBAGA PEMBIAYAAN PERUMAHAN SEKTOR AWAM LPPSA Kompleks Kementerian Kewangan No. Borang Lp Am 30a Pdf. 19082018 Sekiranya anda masih belum mengetahui apa itu SPPB sila tekan link CARA MENGISI BORANG SPPB BORANG PINJMAN Reply Admin LPPSA April 9 2020 217 pm.

9 Persiaran Perdana Presint 2 Pusat Pentadbiran Kerajaan Persekutuan 62592 Putrajaya Tel. 13042016 Cara Pengiraan Kelayakan Pinjaman Kerajaan LPPSA tahun 2018 - Duration. SEKTOR AWAM LPPSA PEKELILING LPPSA BIL.

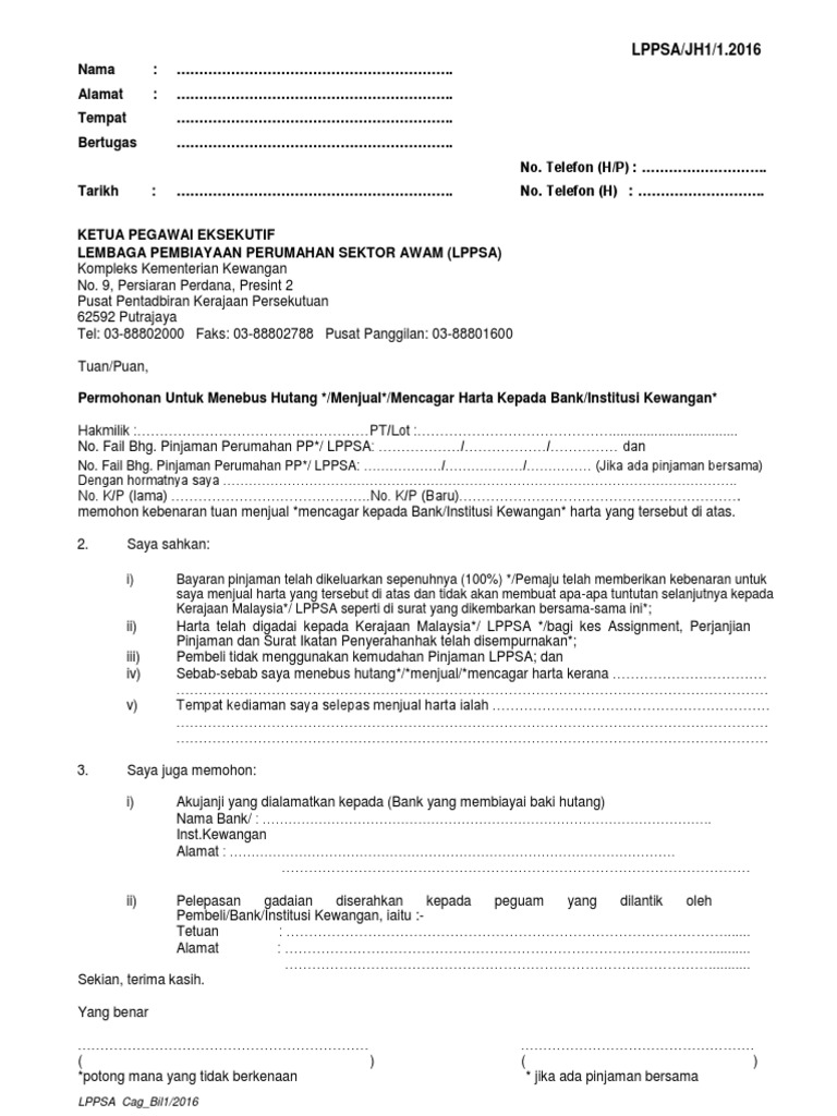
TuanPuan Permohonan Untuk Menebus Hutang MenjualMencagar Harta Kepada BankInstitusi Kewangan. Terdapat tujuh 7 jenis pinjaman yang dibenarkan bagi Pinjaman Pertama dan Pinjaman Kedua mengikut Pekeliling LPPSA Bil. Jika jenis pinjaman 1 sekunder yg dimaksudkan kedua2 borang 3a perakuan firma dan 3b akujanji pemegang pertaruhan peguam diperlukan dalam penyediaan dokumen permohonan.

17052020 Dalam video ini pula saya kongsikan pengalaman saya menggunakan web site ini bagi tujuan melengkapkan borang pinjaman perumahan LPPSA atas talian. Belum mempunyai akaun LPPSA.


Hebahan Lembaga Pembiayaan Perumahan Sektor Awam


Borang Jh1 Pdf Pdf


Borang Jh1 Pdf Pdf


Koleksi Tips Hartanah Zprop Photos Facebook


Property Return Form Lembaga Pembiayaan Perumahan Sektor Awam


Hebahan Lembaga Pembiayaan Perumahan Sektor Awam


Hebahan Lembaga Pembiayaan Perumahan Sektor Awam


Hebahan Lembaga Pembiayaan Perumahan Sektor Awam


Borang Permohonan Untuk Menebus Hutang Menjual Mencagar Harta Kepada Bank Institusi Kewangan Jh 1 Studocu


Penambah Lembaga Pembiayaan Perumahan Sektor Awam Lppsa Facebook


Hebahan Lembaga Pembiayaan Perumahan Sektor Awam


Borang 6 Lppsa


Facebook


Borang Permohonan Untuk Menebus Hutang Menjual Mencagar Harta Kepada Bank Institusi Kewangan Jh 1 Studocu


Hebahan Lembaga Pembiayaan Perumahan Sektor Awam


Hebahan Lembaga Pembiayaan Perumahan Sektor Awam


Hebahan Lembaga Pembiayaan Perumahan Sektor Awam


Hebahan Lembaga Pembiayaan Perumahan Sektor Awam


Penambah Lembaga Pembiayaan Perumahan Sektor Awam Lppsa Facebook


Komentar

Label

amaun antara apakah apoteker arkib awal awam badan bahasa balance bank bantuan barang baru bekerja belajar bomba borang business cara check ckht coaching contoh cuti daerah daftar dalam dari darjah diperlukan download edit egtukar ekasih ekonomi elaun employer english fama felda gaji gerak grafik guru halal harian hibah html ihsan ikhlas imigresen import industri inggris isbn jabatan jais jawatan jawi jengka jpjk8 jpjl8 jpjl8a jpph jtksm jururawat kanan kastam kawalan kebenaran kecamatan keluar kenderaan kerajaan kerani kerja keselamatan kesihatan kewangan khas kilang kokurikulum komputer koponas kosong kuala kursus kwsp lada latihan lazada lebih lelaki lembaga lepasan lhdn list lppkn lppsa luar mada mahkamah maidam maim majlis maklumat maksud malaysia mana mara mardi masa masyarakat matrade matrikulasi medical membuat mengisi merupakan mohon mpag mpaj mpsj mtib murid nama nasional nazir negara negeri niaga nikah offline offshore online page pahang paksa panduan pantai pdrm pegawai pejabat pekerjaan pelaporan pemandu pendaftaran pendirian pengajuan pengertian pengesahan pengusulan penilaian penolong pentaksiran penyelesaian perak perbandaran perceraian perda pergerakan pergigian perhutanan perjanjian perkhidmatan perkongsian permit permohonan perniagaan persaraan pertanian perumahan pesuruhjaya pinang pindaan pindah pinjaman pkpb polis potongan prihatin prodi profitable program proton ptptn public pulau pusat pustaka radicare rakyat registration rehat rendah rentas resertifikasi resume return risda sambilan sample sasaran sebagai secara sekolah selangor sematang shah sijil skpmg2 span spanp1 spanp2 sprm standar standard studi suhakam sukan sumpah survey syarat syariah syarikat tadika tahun tahunan tanah tarikh teknik tekun telekom template tentera terengganu terkini transfer tribunal tudm tukar tuntutan uitm untuk ustev utem uthm visa waktu wallpaper welder what wilayah word yayasan ypkt zakat
Tampilkan selengkapnya

Postingan Populer

Cara Mengisi Borang Jpjl8

Cara Isi Borang Jpjk8

Borang Kerja Jkr