Borang Resertifikasi Apoteker Excel
BORANG EXCEL ResertifikasiTemplate Borang Resertifikasi Apoteker Versi R05. SK 062 tentang Juknis Treatment Resertifikasi tahun 2015.

Cara Memperpanjang Sertifikat Kompetensi Apoteker
Nama Lengkap gelar.

Borang resertifikasi apoteker excel. Re-Sertifikasi bagi Apoteker di Pelayanan Kefarmasian Tingkat Lanjut 72 3. 73Re-Sertifikasi bagi Apoteker di Industri Farmasi dan Kosmetika 5. Borang resertifikasi 2015 - apotek ntbdoc - Google Drive.
Profesi Apoteker 8 Khoerul Anwar 0008058004 08051980 Asisten Ahli SF. Putra Bangsa Warungboto Umbulharjo Kota Yogyakarta Daerah Istimewa Yogyakarta 55164. Lampiran 1 BORANG LOG BOOK RE-SERTIFIKASI APOTEKER Nama.
Pedoman Sertifikasi dan Resertifikasi Kompetensi Apoteker rev-2013-04-13. Borang registrasi borang registrasi lampiran 1 dimaksudkan untuk mendapatkan data anggota pemohon re-sertifikasi apoteker. Tahun ini sudah kedua kalinya saya memperpanjang sertifikat kompentensi.
72Re-Sertifikasi bagi Apoteker di Pelayanan Kefarmasian Dasar 2. Re-Sertifikasi bagi Apoteker di Industri Obat Tradisional dan Makanan-Minuman 73. BORANG REGISTRASI RE-SERTIFIKASI APOTEKER E2.
Save Save borang resertifikasi format excelxlsx 1xls For Later. I Nyoman Wijaya SSi SpFRS Apt. Borang Resertifikasi KFN 2015 150 SKP.
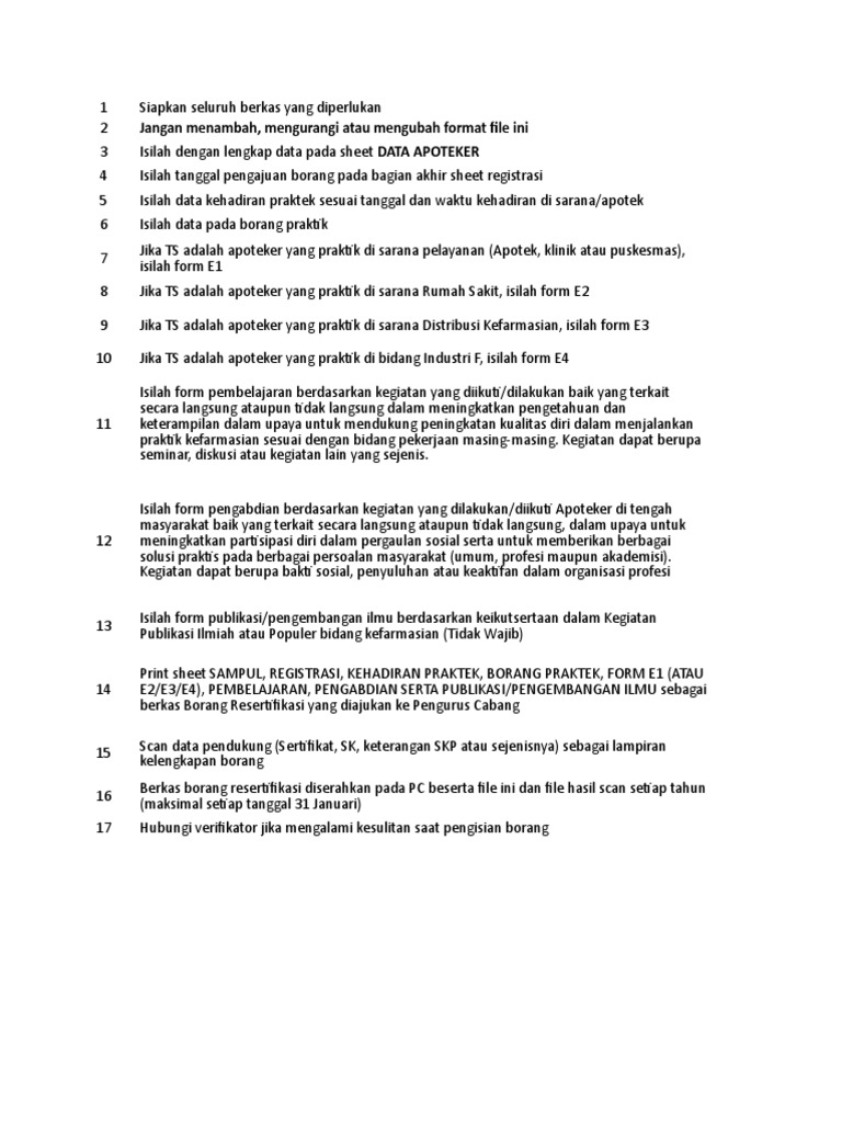
Mengisi berkas-berkas dalam Portofolio Pembelajaran. BORANG LOG BOOK RE-SERTIFIKASI APOTEKER Nama. Borang Rencana Pengembangan Diri.
Kirimkan borang ke email. S1 UAD Profesi UAD S1 Farmasi Profesi Apoteker 10 Valentina Meta Srikartika 0013048601 13041986 Asisten Ahli SFarm. 25072020 salam sehat sejawat apoteker semuanya kali ini saya akan memberi panduan pengisian borang resertifikasi hanya 5 menit beserta cara mendapatkan skp praktek skp pengabdian dan skp pembelajaran.
Mulai 1 Mei 2019 pengumpulan berkas resertifikasi berisi file berkas resertifikasi beserta lampirannya dikirim melalui email. Borang PelaksanaanPraktik Apoteker 4. Download Borang Resertifikasi Apoteker 2017 150 Skp Type.
37 0 1 Pedoman Resertifikasi KFN 2015 150 SKP. 95 0 0. Kegiatan Praktik Profesi Bukti AdaTidak Pelaksanaan Perolehan SKP-Praktik 1 Melakukan Penyimpanan Yang Baik 2Melakukan pelatihan CDOB 3Melakukan prinsip dasar seleksi 4 Melakukan Inventory Control Management 5Melakukan pengadaan yang baik.
Borang Resertifikasi KFN 2015 150 SKP Kegiatan Praktik Profesi AdaTidak Bukti Pelaksanaan Perolehan SKP-Praktik. S1 UII S2 Curtin University. Pengurus Cabang DI Yogyakarta.
BORANG UNTUK RESERTIFIKASI 1. Membayar Sertifikat Kompetensi bila dinyatakan Lolos Re-Sertifikasi. 1 Bekerja selama 5 tahun di bidang rumah sakit 2 Melakukan dan atau.
Lampiran dalam borang registrasi. Mengisi borang Permohonan Re-Sertifikasi kepada Badan Sertifikasi Profesi melalui Pengurus Daerah. Borang Registrasi Re-Sertifikasi Borang Kehadiran Praktik Apoteker Borang Pelaksanaan Praktik Apoteker Borang Rencana Pengembangan Diri 1.
Borang Pelaksanaan Praktik Apoteker 4. Posted on 9 February 2021 By daudabadi Download. Excel yang disampaikan.
18011963000997 Borang ini berisi. Laporan Kinerja Praktik Bidang Distribusi KefarmasianNo. Borang Rencana Pengembangan Diri 2.
CONTOH FORM ISIAN RESERT FORM REKAPITULA NAMA Adryl Sastrawiguna SFarm Apt. Teknis Pelaksanaan Resertifikasi dan SKP. If you are author or own the copyright of this book please report to us by using this DMCA report form.
Tempat Tanggal lahir. Membayar biaya registrasi dan verifikasi Re-Sertifikasi. 1 fotocopy ktp yang masih berlaku 2 fotocopy kta yang masih berlaku 3 fotocopy stra yang masih berlaku 4 fotocopy rekomendasi terakhir dari pcpd iai yang diperoleh 5 fotocopy sipasika terakhir yang diperoleh 6 fotocopy sk pengangkatan pegawai bagi pemohon di rspbfindustri 7 fotocopy sertifikat kompetensi apoteker.
Re-Sertifikasi bagi Apoteker di Distribusi Kefarmasian 72 4. Tahun 2019 ini sepertinya an endless struggle berkutat dengan borang. 10051971025068 Borang ini berisi.
Fithrul Mubarok MFarmApt adalah Blogger Professional Farmasi Industri pertama di Indonesia pendiri dan pengarang dari FARMASIINDUSTRICOM sebuah blog farmasi industri satu-satunya di. Ada banyak borang yang harus diselesaikan mulai dari borang akreditasi program studi borang resertifikasi kompetensi apoteker sampai DUPAK jabatan fungsional dosen. Template Borang Resertifikasi Apoteker Versi R05.
Mengisi borang-borang dalam Buku Log Log Book. This document was uploaded by user and they confirmed that they have the permission to share it. 0 ratings 0 found this document useful 0 votes 141 views 217 pages.
S1 UGM Profesi UGM S1 Farmasi Profesi Apoteker 9 Nashrul Wathan 0015118302 15111983 Asisten Ahli SFar. 0 DATA ISIAN BORANG RESERTIFIKASI KOMPETENSI APOTEKER. Borang Kehadiran Praktik Apoteker 3.
Borang Resertifikasi Format Excel Xlsx 1 Xls

Bagian Ketiga Borangborang Log Book Portofolio Pembelajaran Tim

Cara Memperpanjang Sertifikat Kompetensi Apoteker

Laporan Dan Verifikasi Borang Log Book S D 30

Re Sertifikasi Kompetensi Apoteker Ppt Download

Tim Adhoc Ikatan Apoteker Indonesia Ppt Download

Re Sertifikasi Kompetensi Apoteker Ppt Download

Cara Memperpanjang Sertifikat Kompetensi Apoteker

Pedoman Dan Tatacara Re Sertifikasi Kompetensi Apoteker Ppt Download
![]()
Pedoman Re Sertifikasi Apoteker

Pedoman Dan Tatacara Re Sertifikasi Kompetensi Apoteker Ppt Download

Cara Memperpanjang Sertifikat Kompetensi Apoteker



Komentar
Posting Komentar